11. 平衡二叉搜索树AVL Tree
简介
平衡二叉搜索树是一种特殊的二叉搜索树。为什么会有平衡二叉搜索树呢?
考虑一下二叉搜索树的特殊情况,如果一个二叉搜索树所有的节点都是右节点,那么这个二叉搜索树将会退化成为链表。从而导致搜索的时间复杂度变为O(n),其中n是二叉搜索树的节点个数。
而平衡二叉搜索树正是为了解决这个问题而产生的,它通过限制树的高度,从而将时间复杂度降低为O(logn)。
``
# 简述AVL的特性
在讨论AVL的特性之前,我们先介绍一个概念叫做平衡因子,平衡因子表示的是左子树和右子树的高度差。
如果平衡因子=0,表示这是一个完全平衡二叉树。
如果平衡因子=1,那么这棵树就是平衡二叉树AVL。
也就是是说AVL的平衡因子不能够大于1。
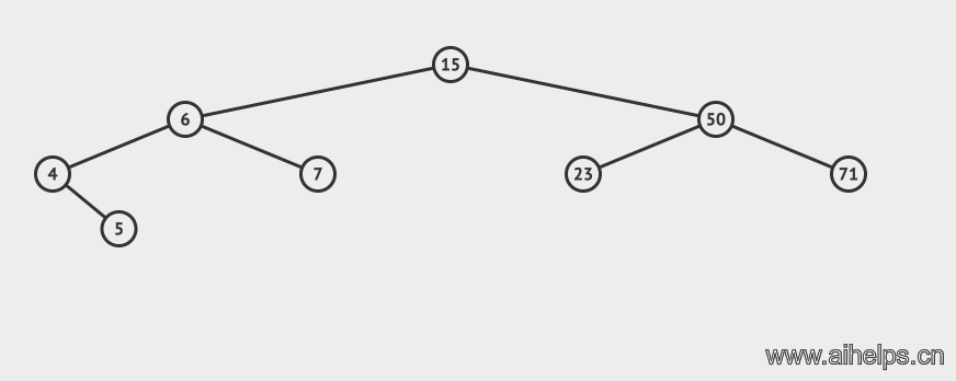
先看一个AVL的例子:

总结一下,AVL首先是一个二叉搜索树,然后又是一个二叉平衡树。
# AVL的构建
有了AVL的特性之后,我们看下AVL是怎么构建的。
~~~java
public class AVLTree {
//根节点
Node root;
class Node {
int data; //节点的数据
int height; //节点的高度
Node left;
Node right;
public Node(int data) {
this.data = data;
left = right = null;
}
}
~~~
同样的,AVL也是由各个节点构成的,每个节点拥有data,left和right几个属性。
因为是二叉平衡树,节点是否平衡还跟节点的高度有关,所以我们还需要定义一个height作为节点的高度。
在来两个辅助的方法,一个是获取给定的节点高度:
~~~java
//获取给定节点的高度
int height(Node node) {
if (node == null)
return 0;
return node.height;
}
~~~
和获取平衡因子:
~~~java
//获取平衡因子
int getBalance(Node node) {
if (node == null)
return 0;
return height(node.left) - height(node.right);
}
~~~
# AVL的搜索
AVL的搜索和二叉搜索树的搜索方式是一致的。
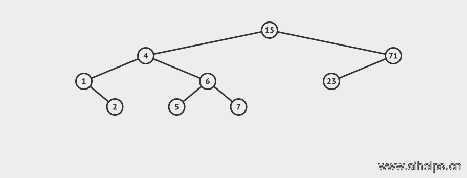
先看一个直观的例子,怎么在AVL中搜索到7这个节点:

搜索的基本步骤是:
1. 从根节点15出发,比较根节点和搜索值的大小
2. 如果搜索值小于节点值,那么递归搜索左侧树
3. 如果搜索值大于节点值,那么递归搜索右侧树
4. 如果节点匹配,则直接返回即可。
相应的java代码如下:
~~~java
//搜索方法,默认从根节点搜索
public Node search(int data){
return search(root,data);
}
//递归搜索节点
private Node search(Node node, int data)
{
// 如果节点匹配,则返回节点
if (node==null || node.data==data)
return node;
// 节点数据大于要搜索的数据,则继续搜索左边节点
if (node.data > data)
return search(node.left, data);
// 如果节点数据小于要搜素的数据,则继续搜索右边节点
return search(node.right, data);
}
~~~
# AVL的插入
AVL的插入和BST的插入是一样的,不过插入之后有可能会导致树不再平衡,所以我们需要做一个再平衡的步骤。
看一个直观的动画:

插入的逻辑是这样的:
1. 从根节点出发,比较节点数据和要插入的数据
2. 如果要插入的数据小于节点数据,则递归左子树插入
3. 如果要插入的数据大于节点数据,则递归右子树插入
4. 如果根节点为空,则插入当前数据作为根节点
插入数据之后,我们需要做再平衡。
再平衡的逻辑是这样的:
1. 从插入的节点向上找出第一个未平衡的节点,这个节点我们记为z
2. 对z为根节点的子树进行旋转,得到一个平衡树。
根据以z为根节点的树的不同,我们有四种旋转方式:
* left-left:

如果是left left的树,那么进行一次右旋就够了。
右旋的步骤是怎么样的呢?
1. 找到z节点的左节点y
2. 将y作为旋转后的根节点
3. z作为y的右节点
4. y的右节点作为z的左节点
5. 更新z的高度
相应的代码如下:
~~~java
Node rightRotate(Node node) {
Node x = node.left;
Node y = x.right;
// 右旋
x.right = node;
node.left = y;
// 更新node和x的高度
node.height = max(height(node.left), height(node.right)) + 1;
x.height = max(height(x.left), height(x.right)) + 1;
// 返回新的x节点
return x;
}
~~~
* right-right:
如果是right-right形式的树,需要经过一次左旋:

左旋的步骤正好和右旋的步骤相反:
1. 找到z节点的右节点y
2. 将y作为旋转后的根节点
3. z作为y的左节点
4. y的左节点作为z的右节点
5. 更新z的高度
相应的代码如下:
~~~java
//左旋
Node leftRotate(Node node) {
Node x = node.right;
Node y = x.left;
//左旋操作
x.left = node;
node.right = y;
// 更 新node和x的高度
node.height = max(height(node.left), height(node.right)) + 1;
x.height = max(height(x.left), height(x.right)) + 1;
// 返回新的x节点
return x;
}
~~~
* left-right:

如果是left right的情况,需要先进行一次左旋将树转变成left left格式,然后再进行一次右旋,得到最终结果。
* right-left:

如果是right left格式,需要先进行一次右旋,转换成为right right格式,然后再进行一次左旋即可。
现在问题来了,怎么判断一个树到底是哪种格式呢?我们可以通过获取平衡因子和新插入的数据比较来判断:
1. 如果balance>1,那么我们在Left Left或者left Right的情况,这时候我们需要比较新插入的data和node.left.data的大小
如果data < node.left.data,表示是left left的情况,只需要一次右旋即可
如果data > node.left.data,表示是left right的情况,则需要将node.left进行一次左旋,然后将node进行一次右旋
2. 如果balance<-1,那么我们在Right Right或者Right Left的情况,这时候我们需要比较新插入的data和node.right.data的大小
如果data > node.right.data,表示是Right Right的情况,只需要一次左旋即可
如果data < node.left.data,表示是Right left的情况,则需要将node.right进行一次右旋,然后将node进行一次左旋
插入节点的最终代码如下:
~~~java
//插入新节点,从root开始
public void insert(int data){
root=insert(root, data);
}
//遍历插入新节点
Node insert(Node node, int data) {
//先按照普通的BST方法插入节点
if (node == null)
return (new Node(data));
if (data < node.data)
node.left = insert(node.left, data);
else if (data > node.data)
node.right = insert(node.right, data);
else
return node;
//更新节点的高度
node.height = max(height(node.left), height(node.right)) + 1;
//判断节点是否平衡
int balance = getBalance(node);
//节点不平衡有四种情况
//1.如果balance>1,那么我们在Left Left或者left Right的情况,这时候我们需要比较新插入的data和node.left.data的大小
//如果data < node.left.data,表示是left left的情况,只需要一次右旋即可
//如果data > node.left.data,表示是left right的情况,则需要将node.left进行一次左旋,然后将node进行一次右旋
//2.如果balance<-1,那么我们在Right Right或者Right Left的情况,这时候我们需要比较新插入的data和node.right.data的大小
//如果data > node.right.data,表示是Right Right的情况,只需要一次左旋即可
//如果data < node.left.data,表示是Right left的情况,则需要将node.right进行一次右旋,然后将node进行一次左旋
//left left
if (balance > 1 && data < node.left.data)
return rightRotate(node);
// Right Right
if (balance < -1 && data > node.right.data)
return leftRotate(node);
// Left Right
if (balance > 1 && data > node.left.data) {
node.left = leftRotate(node.left);
return rightRotate(node);
}
// Right Left
if (balance < -1 && data < node.right.data) {
node.right = rightRotate(node.right);
return leftRotate(node);
}
//返回插入后的节点
return node;
}
~~~
# AVL的删除
AVL的删除和插入类似。
首先按照普通的BST删除,然后也需要做再平衡。
看一个直观的动画:

删除之后,节点再平衡也有4种情况:
1. 如果balance>1,那么我们在Left Left或者left Right的情况,这时候我们需要比较左节点的平衡因子
如果左节点的平衡因子>=0,表示是left left的情况,只需要一次右旋即可
如果左节点的平衡因<0,表示是left right的情况,则需要将node.left进行一次左旋,然后将node进行一次右旋
2. 如果balance<-1,那么我们在Right Right或者Right Left的情况,这时候我们需要比较右节点的平衡因子
如果右节点的平衡因子<=0,表示是Right Right的情况,只需要一次左旋即可
如果右节点的平衡因子>0,表示是Right left的情况,则需要将node.right进行一次右旋,然后将node进行一次左旋
相应的代码如下:
~~~java
Node delete(Node node, int data)
{
//Step 1. 普通BST节点删除
// 如果节点为空,直接返回
if (node == null)
return node;
// 如果值小于当前节点,那么继续左节点删除
if (data < node.data)
node.left = delete(node.left, data);
//如果值大于当前节点,那么继续右节点删除
else if (data > node.data)
node.right = delete(node.right, data);
//如果值相同,那么就是要删除的节点
else
{
// 如果是单边节点的情况
if ((node.left == null) || (node.right == null))
{
Node temp = null;
if (temp == node.left)
temp = node.right;
else
temp = node.left;
//没有子节点的情况
if (temp == null)
{
node = null;
}
else // 单边节点的情况
node = temp;
}
else
{ //非单边节点的情况
//拿到右侧节点的最小值
Node temp = minValueNode(node.right);
//将最小值作为当前的节点值
node.data = temp.data;
// 将该值从右侧节点删除
node.right = delete(node.right, temp.data);
}
}
// 如果节点为空,直接返回
if (node == null)
return node;
// step 2: 更新当前节点的高度
node.height = max(height(node.left), height(node.right)) + 1;
// step 3: 获取当前节点的平衡因子
int balance = getBalance(node);
// 如果节点不再平衡,那么 有4种情况
//1.如果balance>1,那么我们在Left Left或者left Right的情况,这时候我们需要比较左节点的平衡因子
//如果左节点的平衡因子>=0,表示是left left的情况,只需要一次右旋即可
//如果左节点的平衡因<0,表示是left right的情况,则需要将node.left进行一次左旋,然后将node进行一次右旋
//2.如果balance<-1,那么我们在Right Right或者Right Left的情况,这时候我们需要比较右节点的平衡因子
//如果右节点的平衡因子<=0,表示是Right Right的情况,只需要一次左旋即可
//如果右节点的平衡因子>0,表示是Right left的情况,则需要将node.right进行一次右旋,然后将node进行一次左旋
// Left Left Case
if (balance > 1 && getBalance(node.left) >= 0)
return rightRotate(node);
// Left Right Case
if (balance > 1 && getBalance(node.left) < 0)
{
node.left = leftRotate(node.left);
return rightRotate(node);
}
// Right Right Case
if (balance < -1 && getBalance(node.right) <= 0)
return leftRotate(node);
// Right Left Case
if (balance < -1 && getBalance(node.right) > 0)
{
node.right = rightRotate(node.right);
return leftRotate(node);
}
return node;
}
~~~
本文的代码地址:
[learn-algorithm](https://github.com/ddean2009/learn-algorithm/tree/master/tree)
> 本文收录于 [www.aihelps.cn](http://www.aihelps.cn)
>
> 最通俗的解读,最深刻的干货,最简洁的教程,众多你不知道的小技巧等你来发现!
>
> 欢迎关注我的公众号:「Aihelps」,懂技术,更懂你!

